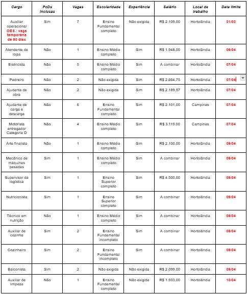
Dentre as oportunidades divulgadas pelo órgão da Prefeitura, há 16 vagas abertas à concorrência de PcDs (pessoas com deficiência); há ainda duas vagas de Ensino Superior completo também para PcDs e público em geral
Hortolândia estimula a inclusão profissional de PcDs (pessoas com deficiência). Prova disso é que o Posto de Atendimento ao Trabalhador (PAT), órgão da Prefeitura, está com 16 vagas de emprego abertas à concorrência de PcDs. São sete vagas temporárias de 90 dias para auxiliar operacional, uma para mecânico de máquinas pesadas, duas para auxiliar de cozinha, duas para cozinheiro e duas para balconista. Também para PcDs e público em geral com Ensino Superior completo, há uma vaga para supervisor de logística e uma para nutricionista. Há ainda oportunidades para outros cargos (confira quadro abaixo).
Quem se interessou por alguma das vagas, pode candidatar-se de forma on-line no portal Emprega Brasil do governo federal (CLIQUE AQUI).
Quem preferir, pode candidatar-se presencialmente no PAT de Hortolândia, que fica na Praça de Atendimento do Paço Municipal, localizado na rua Professora Celina Franceschini Bueno, 100, Jardim Metropolitan. O órgão funciona de segunda a sexta-feira, das 8h às 16h30.
Para candidatar-se presencialmente às vagas, os interessados devem apresentar Carteira de Identidade (RG), Cadastro de Pessoa Física (CPF) e Carteira de Trabalho e Previdência Social (CTPS) nos formatos físico (em papel) ou digital. Currículo e comprovante de residência são documentos opcionais, e cuja apresentação não é obrigatória.
O PAT de Hortolândia reforça que as vagas ficam disponíveis até as datas limites, ou até os limites de candidatos estabelecidos pelos empregadores forem atingidos.
FATEC
Hortolândia também atua para fortalecer a formação profissional da população jovem. A Prefeitura atua para trazer outra importante instituição de Ensino Superior do governo do Estado, a Fatec (Faculdade de Tecnologia de São Paulo). A Prefeitura promoveu encontro com empreendedores e empresas, na Câmara Municipal, neste mês.
O encontro marcou o início do projeto de estudo, entre Estado e município, para a possível implantação de um câmpus da Fatec em Hortolândia. De acordo com o presidente do Centro Paula Souza, Clóvis Dias, não há prazo definido para a implantação da Fatec no município. O Centro Paula Souza é o órgão estadual responsável pela gestão das ETECs e Fatecs existentes nos municípios paulistas.
PEI
Hortolândia implanta outra ação importante para fortalecer a inclusão de PcDs (pessoas com deficiência) no mercado de trabalho. A Prefeitura iniciou os atendimentos do Polo de Empregabilidade Inclusiva (PEI) no Paço Municipal, no mês passado.
Esse é um dos três programas que a Prefeitura passa a realizar com o governo do Estado. A parceria foi oficializada com a assinatura dos Termos de Cooperação Técnica, com a presença do secretário estadual de Direitos da Pessoa com Deficiência, Marcos da Costa, em janeiro deste ano.
SINEA Prefeitura de Hortolândia tem outra boa notícia para quem procura emprego. Também em janeiro deste ano, o município fez a adesão ao Sistema Nacional de Emprego (SINE), gerido pelo governo federal.
O SINE é uma plataforma on-line que oferece vários serviços públicos referentes ao mercado de trabalho. A plataforma ainda conecta pessoas em busca de trabalho e empregadores que estão com vagas de emprego disponíveis. Por meio da plataforma, a população pode também ter acesso a atividades de qualificação e orientação profissional.
Confira abaixo os requisitos, valores dos salários, locais de trabalho e as datas limites das 39 vagas de emprego divulgadas pelo PAT de Hortolândia:
